ICUMSA. Международная комиссия по унифицированным методам анализа в сахарной промышленности — международный орган по стандартизации, объединяющий деятельность национальных комитетов по анализу сахара в более чем двадцати странах, и публикующий подробные лабораторные процедуры для анализа сахара. Основана в 1897 году. ICUMSA - единственная международная организация, занимающаяся исключительно аналитическими методами для сахарной промышленности. Помимо использования в этой отрасли, методы ICUMSA признаны такими органами, как Комиссия Codex Alimentarius, OIML, ЕС и Кодекс пищевых химикатов США.
Оптическая активность. Свойство некоторых веществ вращать плоскость поляризации проходящего через них линейно поляризованного света. Оптическая активность обнаружена в 1811 Д.Ф. Араго в кварце, а в 1815 Ж. Б. Био – в органических веществах, он же установил закон вращения плоскости поляризации (закон Био). Оптическая активность может быть естественной и наведённой.
Оптически активное вещество, оптически активная среда. Вещества, обладающие естественной оптической активностью, называются оптически активными веществами или оптически активной средой.
Измерительная кювета (Observation Tube). В большинстве поляриметров для выполнения измерений в качестве кюветы используется стеклянная трубка, внутренняя часть которой заполняется исследуемым веществом. Чаще всего используются измерительные кюветы длиной 100 и 200 мм. 200-миллиметровые измерительные кюветы в основном используются в сахарной промышленности, а 100-миллиметровые – в фармацевтической промышленности. Существуют также короткие кюветы длиной, например, 10 или 50 мм.
* В серии рефрактополяриметров RePo измерительная кювета представляет собой ячейку, углубление в корпусе прибора для размещения образца (не кювету).
Угол вращения (поворота) плоскости поляризации, α (Angle of Rotation, AR). При прохождении поляризованного света через оптически активную среду плоскость поляризации поворачивается. Значение угла поворота, выражаемое в угловых градусах («°») и направление вращения (влево/вправо) характеризуют свойства этой среды. Угол поворота плоскости поляризации (AR) является базовой величиной, измеряемой поляриметром, и зависит от концентрации жидкого образца, длины измерительной кюветы, температуры измерений и длины волны света, который проходит через кювету.
Длина волны измерения, λ (Measurement Wavelength). Угол поворота плоскости поляризации зависит от длины волны света. В поляриметрах применяются специальные оптические фильтры (интерференционные фильтры), позволяющие производить измерения на одной длине волны. Почти все поляриметры используют длину волны D-линии натрия (589,3 нм). С помощью модели поляриметра SAC-i 589/882 можно выполнять измерения либо на длине волны 589 нм, либо на длине волны 882 нм.
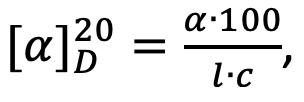
Удельное вращение (Specific Rotation, SR). Для сравнительной оценки способности различных веществ вращать плоскость поляризации света вычисляют величину удельного вращения

Удельное оптическое вращение представляет собой угол вращения α плоскости поляризации монохроматического света при длине волны D линии в спектре натрия (589,3 нм), выраженный в градусах, измеренный при температуре 20 °С, рассчитанный для толщины слоя испытуемого вещества 1 дм и приведенный к концентрации вещества, равной 1 г/мл. Согласно российской фармакопее выражается в градус-миллилитрах на дециметр-грамм [(°) ∙ мл ∙ дм-1 ∙ г-1]. Для веществ, находящихся в растворе, удельное вращение

где: α – измеренный угол вращения, в градусах;
l – толщина слоя, в дециметрах;
c – концентрация раствора, в граммах вещества на 100 мл раствора.
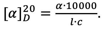
В международной фармакопее принято измерять толщину слоя в миллиметрах и поэтому формула для расчета приобретает вид:

Концентрация (Concentration). Подразумевается массовая концентрация, то есть масса растворенного вещества, выраженная в граммах, в 100 миллилитрах раствора.

где α – измеренный угол вращения, в градусах;
l - толщина слоя, в дециметрах*;
[α] – удельное вращение.
* 1 дм = 10 см = 100 мм.
Международная сахарная шкала (International Sugar Scale, ISS). Шкала, преобразованная из величины угла поворота плоскости поляризации. Единица шкалы выражается в «°Z» (градусы Z). Концентрация раствора сахарозы, равная 26 г / 100 мл раствора и измеренная с помощью измерительной кюветы длиной 200 миллиметров при температуре 20 °C, соответствует 100 °Z. Данная шкала используется в сахарной промышленности. Как и в случае использования шкалы Брикс необходимо применение температурной компенсации. Раствор сахарозы 100 °Z составляет 23,70% по шкале Брикс. Перевод значений из угловых градусов в «°Z» осуществляется по формуле:

Здесь ISS – содержание сахарозы в растворе в градусах международной сахарной шкалы.
Оптическая плотность (OpticalDencity, OD). Мера ослабления света прозрачными объектами (кристаллами, стеклами и др.). Оптическую плотность часто называют также поглощением из-за того, что обе величины определяются по одной и той же формуле, хотя, строго говоря, ослабление излучения может происходить не только благодаря поглощению, но и рассеянию. Зависит от длины волны. Оптическая плотность связана с коэффициентом пропускания десятичным логарифмом, таким образом, для данной длины волны света коэффициент пропускания 10% соответствует оптической плотности ODравной 1,0, при коэффициенте пропускания 1% ODравна 2,0, а для коэффициента пропускания 0,1% OD составляет 3,0.
Дисперсия оптического вращения (вращательная дисперсия) Optical rotatory dispersion - зависимость угла поворота плоскости поляризации света в веществе от длины волны.