Вязкость или внутреннее трение – это свойство текучих тел (жидкостей и газов) оказывать сопротивление перемещению одной их части относительно другой.
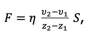
Механизм внутреннего трения в жидкостях и газах заключается в том, что хаотически движущиеся молекулы переносят импульс из одного слоя в другой, что приводит к выравниванию скоростей. Основной закон вязкого течения был установлен Исааком Ньютоном в 1687 году и выражается формулой:

где F – сила, вызывающая сдвиг слоёв жидкости или газа относительно друг друга (называемая тангенциальной или касательной силой);
S – площадь слоя, по которому происходит сдвиг;
(v2-v1)/(z2-z1) – градиент скорости течения (быстрота изменения скорости течения от слоя к слою), иначе – скорость сдвига;
v – скорость;
z – координата.
Коэффициент пропорциональности η называется коэффициентом динамической вязкости или просто вязкостью. Он количественно характеризует сопротивление жидкости (газа) смещению её слоёв. Величина, обратная вязкости, называется текучестью:

Единицей динамической вязкости в системе СИ является так называемая «Паскаль-секунда» (единица давления «паскаль», умноженная на единицу времени «секунда»). Часто также используется мера миллипаскаль-секунда (мПа×с). В системе СГС динамическая вязкость измеряется в «Пуазах» (обозначается «П»). Одна паскаль-секунда равна 10 пуазам.
Часто жидкости, для удобства описания их свойств, условно делят на текучие (вода) и вязкие (мёд). Несмотря на то, что четкой границы между этими характеристиками не установлено, по величине вязкости можно сказать, насколько «текучая» или «вязкая» жидкость (в сравнении с другой жидкостью).
В условиях установившегося слоистого течения при постоянной температуре вязкость газов и нормальных жидкостей (так называемых ньютоновских жидкостей) — постоянная величина, не зависящая от градиента скорости.
Зависимость вязкости от температуры
При повышении температуры вещества вязкость уменьшается. Вероятно, многие замечали, что когда мед или сироп нагреваются, они становятся менее вязкими.

Кинематическая вязкость
Наряду с динамической вязкостью η часто рассматривают так называемую кинематическую вязкость v, вычисляемую по формуле:

где ρ - плотность жидкости или газа. Единицами кинематической вязкости служат [м2/с] и [см2/с] («стокс»).
Динамическая вязкость показывает, насколько трудно объекту перемещаться в жидкости. И наоборот, кинематическая вязкость выражает, насколько трудно двигаться самой жидкости. Метафорически выражаясь, кинематическая вязкость сравнима с действием тормоза, установленного на поток жидкости, при этом эффективность тормоза зависит от плотности жидкости. Это то же самое, как если бы велосипед и автобус, двигаясь с одинаковой скоростью и применяя одинаковое тормозное усилие, все равно останавливались бы по-разному из-за разницы в массе.

Вискозиметр
Вязкость жидкостей и газов определяют вискозиметрами.
Значения динамической вязкости для некоторых жидкостей приведены на рисунке ниже.

_____________________________________________________________________________________________________________________________
Примечание: соус Тонкацу – это традиционный соус японской национальной кухни. Темный, густой, кисло-сладкий.