При исследовании химического состава нефти и нефтепродуктов часто определяют оптические свойства, такие как показатель преломления (ПП), удельную рефракцию, молекулярную рефракцию и удельную дисперсию. Показателем преломления называется отношение синуса угла падения светового луча к синусу угла преломления, что наблюдается при переходе луча из среды с одной оптической плотностью в другую, см. рисунок (Преломление светового луча на границе раздела двух прозрачных сред).

Константа n2,1 - называется относительным показателем преломления второго вещества по отношению к первому. Волновая теория света устанавливает простую связь показателя преломления со скоростью распространения световых волн в двух средах υ1 и υ2: n2,1= υ1/ υ2. Показатель преломления вещества по отношению к “вакууму” называется абсолютным показателем преломления и равен отношению скорости света в веществе υ к скорости света в вакууме с: n = c/ υ. Отсюда относительный показатель преломления n2,1 равен отношению абсолютных показателей преломления в средах 1 и 2.
n2,1=n2/n1
Показатель преломления является характерной константой вещества и не зависит от величины угла падения луча, но зависит от внешних условий (главным образом от температуры) и от длины волны света. Длину волны указывают подстрочным индексом, а температуру - надстрочным. Например, символ n20/480 обозначает показатель преломления при 20ºС для голубой линии кадмия с длиной волны 480 нм (4800Å). Вместо длины волны часто употребляемых спектральных линий обычно указывают их буквенные обозначения. Например, nD 20, nC 20, nF 20 обозначают показатели преломления при 20ºС для линии Д натрия (589З Å) и линий С и F водорода (λC = 6563 Å, λF = 4861 Å). Чаще всего определяют показатель преломления nD для желтой линии натрия. Если при прохождении луча света из среды 1 в 2 n1 gt; n2, то при некотором значении угла падения луч после преломления составит с перпендикуляром DD угол 90˚, то есть луч будет скользить вдоль поверхности раздела и не перейдет во вторую среду (претерпевает полное внутреннее отражение). Значение угла i, при котором происходит это явление, называется углом полного внутреннего отражения. На определении угла полного внутреннего отражения основаны приборы для определения показателей преломления различных веществ, называемые рефрактометрами. Для углеводородов показатели преломления возрастают в гомологических рядах при переходе от низшего гомолога к высшему. Наибольшие показатели преломления имеют углеводороды ароматического ряда, затем идут нафтены, олефины и парафины. В смесях углеводородов показатели преломления подчиняются закону аддитивности, что позволяет воспользоваться ими для количественного определения отдельных групп углеводородов в смеси.
Во многих случаях, кроме показателя преломления, определяют еще некоторые характеристики, являющиеся его функциями: удельную рефракцию, молекулярную рефракцию, удельную дисперсию и интерцепт рефракции. Изменение плотности вещества всегда сопровождается изменением его показателя преломления. Существуют теоретические и эмпирические зависимости некоторой функции показателя преломления f(n) от плотности d:f (n) = R*d
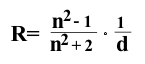
Постоянный коэффициент R, характерный для данного вещества, называют удельной рефракцией. Удельная рефракция практически не зависит от внешних условий агрегатного состояния вещества. Она может быть выражена при помощи формулы Гладстона-Даля
R=(n-1)/d
или формулы Лорентца-Лоренца

Подобно показателям преломления удельные рефракции во многих случаях являются аддитивными величинами для смесей углеводородов. Условию аддитивности лучше отвечает эмпирическая функция Гладстона-Даля, чем теоретически обоснованная Лорентца-Лоренца. При сравнении удельных рефракций углеводородов различных рядов, кипящих при одинаковых температурах, наименьшую величину имеют не парафины, а нафтены, что объясняется их более высоким удельным весом. В гомологических рядах удельная рефракция возрастает с увеличением молекулярной массы углеводородов. Произведение удельной рефракции на молекулярную массу (М) дает молекулярную рефракцию (MR). МR= R ·М
Как уже отмечалось, величина показателя преломления зависит от длины волны. Различие в преломлении лучей называется дисперсией (рассеиванием) света. В качестве меры дисперсии часто употребляется разность показателей преломления для двух длин волн, называемая частной дисперсией. Частная дисперсия для синий (F, 488.1 нм) и красной (С, 656.3 нм) линий спектра водорода, охватывающих среднюю часть видимого спектра, называется средней дисперсией. Разница показателей преломления вещества для синий и красной линий спектра водорода, отнесенная к плотности вещества называется удельной дисперсией. При исследовании нефти и углеводородов находят применение выражения для удельной дисперсии, основанные на формуле Гладстона-Даля;

Для углеводородов ароматического ряда величина удельной дисперсии намного выше, чем у насыщенных - парафинов и нафтенов, которые имеют практически одну и ту же удельную дисперсию независимо от состава или молекулярной массы. Ненасыщенные ациклы занимают промежуточное положение. Удельные дисперсии аддитивны и могут быть вычислены по правилу смешения.
высококипящие, полициклические...до 465
Экспериментально установлено, что разность между показателем преломления и половиной плотности является величиной постоянной для углеводородов одного и того же гомологического ряда. Эта величина была названа интерцептом рефракции.
RI = n-(d/2)
Определение интерцепта рефракции используется для исследования группового состава бензинов и особенно их узких фракций.

