Процесс измерения концентрации различных веществ методом измерения преломления и определения коэффициента преломления получил своё название — рефрактометрия. Приборы, использующие в своей работе принцип рефрактометрии, называются рефрактометрами. Широкое применение рефрактометры получили в разных промышленностях: для идентификации химических соединений, определения физико-химических параметров, для количественного и структурного анализа. В пищевой промышленности — для измерения содержания спирта в алкогольных продуктах, контроля содержания сахара в сахарном производстве — в общем, для установления качества пищевых продуктов. В фармакологии рефрактометры применяются для определения количества глюкозы в биологических жидкостях и лекарственных средств в растворах. Достоинства рефрактометрических методов химического количественного анализа — быстрота измерений, малый расход вещества и высокая точность.
Задача работы: Рефрактометрический метод как метод анализа лекарственных веществ. Актуальность использования рефрактометров и поляриметров ATAGO в фармацевтике и, как частное, – в аптеках.
Показателем преломления (индексом рефракции) называют отношение скорости света в вакууме к скорости света в испытуемом веществе (абсолютный показатель преломления). Показатель преломления зависит от температуры и длины волны света, при которой проводят определение. В растворах показатель преломления зависит также от концентрации вещества и природы растворителя. При этом на практике определяют так называемый относительный показатель преломления (n), который рассчитывается как отношение синуса угла падения луча (α) к синусу угла преломления (β) для двух соприкасающихся сред.
Показатель преломления также равен отношению скоростей распространения света в этих средах:

В лабораторных условиях обычно определяют так называемый относительный показатель преломления (ПП) вещества по отношению к воздуху. ПП измеряют на рефрактометрах различных систем. Раньше измерение ПП чаще всего производилось с использованием рефрактометров Аббе, работающего по принципу полного внутреннего отражения при прохождении светом границы раздела двух сред с различными показателями преломления. В настоящее время в лаборатории всё чаще можно встретить автоматические рефрактометры ATAGO серии RX.
Диапазон измеряемых ПП при измерении в проходящем свете с использованием рефрактометров Аббе, – 1.3000 – 1.7000. Если необходимо раздвинуть границы диапазонов, применяют специальные модели с низкики или высокими диапазонами, а также многоволновые рефрактометры Аббе.
Диапазон измеряемых ПП при измерении на автоматических рефрактометрах серии RX – 1.32500 – 1.70000. Точность измерения показателя преломления должна быть не ниже ±2·10-4. Величина показателя преломления зависит от природы вещества, длины волны света, температуры, при которой проводится измерение, и концентрации вещества в растворе. Обычно измерение показателя преломления проводится при длине волны света 589,3 нм (линия D спектра натрия). Но в некоторых случаях используются разные длины волн в диапазоне от 450нм до 1550нм. Очень важным условием определения ПП является соблюдение температурного режима. Как правило, определение выполняется при 20 градусах по шкале Цельсия. При температуре свыше 20 градусов - величина ПП уменьшается, при температуре ниже 20 градусов – величина ПП увеличивается.
Поправка на температуру рассчитывается по формуле: n1=n20+(20-T)*0,0002
Показатель преломления, измеренный при 20°С и длине волны света 589,3 нм, обозначается индексом n20. Показатель преломления может быть использован как константа для установления подлинности и чистоты тех лекарственных препаратов, которые по своей природе являются жидкостями. Рефрактометрический метод широко используется в фармацевтическом анализе для количественного определения концентрации веществ в растворе, которую находят по графику зависимости показателя преломления раствора от концентрации. На графике выбирают интервал концентраций, в котором наблюдается линейная зависимость между показателем преломления и концентрацией. Такой способ может использоваться в практике внутриаптечного контроля.
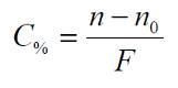
Зависимость показателя преломления от концентрации вещества в процентах выражается формулой:

где n и n0 - показатели преломления раствора и растворителя; С - концентрация вещества в растворе; F - фактор показателя преломления.
Показатель преломления раствора складывается из показателя преломления растворителя и показателей преломления растворенных веществ.
Значения показателей преломления и факторов для различных концентраций растворов лекарственных веществ приведены в рефрактометрических таблицах, которые имеются в руководстве по внутриаптечному контролю. Использование таблиц значительно упрощает расчёты.

В рефрактометрии используют два способа расчёта концентрации вещества в растворе по измеренному показателю преломления.

Значение фактора показателя преломления берется из рефрактометрических таблиц.
Измерив показатель преломления, в таблице находят соответствующее ему значение концентрации. Если измеренный показатель преломления в таблице не приведен, проводится интерполирование. Рефрактометрический метод используется для количественного определения концентрированных растворов. Концентрированные растворы - это рабочие растворы лекарственных веществ (ЛВ) опредёленной, более высокой концентрации, чем эти растворы прописываются в аптеках.
При приготовлении концентрированных растворов следует избегать концентраций близких к насыщенным, т.к. при понижении температуры раствора возможна кристаллизация растворённого вещества.
Отклонения, допускаемые в концентратах:
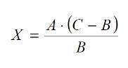
1) Концентрация раствора оказалась выше требуемой.
Объем воды, необходимый для разбавления полученного раствора, вычисляют по формуле:

где Х - количество воды, необходимое для разбавления изготовленного раствора (мл.); А - объём изготовленного раствора (мл.); В - требуемая концентрация раствора (%); С - фактическая концентрация раствора (%).
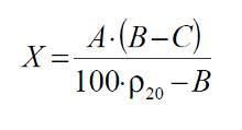
2) Концентрация раствора оказалась ниже требуемой.
Массу ЛВ для укрепления полученного раствора вычисляют по формуле:

где Х - масса вещества, которую следует добавить к раствору (г); А - объем изготовленного раствора (мл.); В - требуемая концентрация раствора (%); С - фактическая концентрация раствора (%); ρ20 - плотность раствора при 20°С (г/мл, г/см3)


Рефрактометры серии NAR или DR-A1 предназначены для измерения показателя преломления и средней дисперсии неагрессивных жидкостей. Это очень качественный приборы. Простые в обслуживании. Минимальны в содержании. Фактически расходный материал для этих рефрактометров – лампочка (источник света). Рефрактометры ATAGO серии NAR или DR-A1 применяются:
Для определения доли сухих веществ в различных суслах (ГОСТ 5900-73), сахароагаровом сиропе, сиропе для мармелада, зефира, кремов и пряников.
Для определение массовой доли растворимых сухих веществ по сахарозе (% Brix) в продуктах переработки плодов и овощей, для определения процентного содержания жира в твёрдых продуктах питания (пряниках, вафлях или хлебобулочных изделиях) концентрации солей.
4.При обслуживании техники применяются рефрактометры ATAGO для определения с большей точностью объёмной концентрации противокристаллизационной жидкости "ИМ", которая добавляется в авиационное топливо в количестве от 0,1 до 0,3%. Дальнейшая обработка результатов ведется согласно "Методическим рекомендациям по анализу качества ГСМ в гражданской авиации" Ч. II стр.159. Опыт использования рефрактометров показал, что эти приборы значительно сокращают время и повышают достоверность получения анализов по процентному содержанию жидкости "ИМ" в авиационном топливе.

Автоматический лабораторный рефрактометры серии RX с микропроцессорным управлением предназначены для исследования концентрации широкого диапазона жидких сред как низкой, так и высокой вязкости, независимо от прозрачности и цвета. Серия RX обеспечивают высокую точность измерения, точный контроль за температурой. Весь процесс измерения (нагрев/охлаждение) проходит в автоматическом режиме. Достаточно просто нажать клавишу Старт. Прибор автоматически измеряет коэффициент преломления образца раствора, вычисляет его концентрацию и представляет результат на цифровом ЖК-экране. Серия RX-I снабжен экраном, который выполнен по технологии «Тач скрин» - сенсорный экран, всё управление прибором осуществляется с экрана. Автоматические рефрактометры серии RX могут как нагревать/охлаждать образец за счет встроенных элементов Пельтье, так и использовать функцию автоматической температурной компенсации при проведении измерения. Идеальный прибор для фармацевтов из этой серии - автоматический рефрактометр RX-9000-i и RX-5000-i Plus.
Спирт этиловый (этанол, Spiritus aethylicus) - один из наиболее широко используемых органических растворителей в медицинской и фармацевтической практике. Этанол обладает бактериостатическими и бактерицидными свойствами. Широко используется для получения настоек, экстрактов, лекарственных форм для наружного применения. Качество спиртовых растворов зависит от концентрации спирта, в котором растворён препарат. В каждом случае необходима оптимальная концентрация, при которой лекарственное вещество не выделится в осадок. Поэтому готовятся водно-спиртовые растворы с различной концентрацией спирта. Количественное содержание этилового спирта легко определяется рефрактометрическим методом. Существует чёткая зависимость между концентрацией этилового спирта и коэффициентом преломления. Известно, что показатель преломления зависит от температуры, длины волны света, природы вещества и растворителя, концентрации вещества. Так вот показатель преломления водных растворов спирта от 1% до 70% имеет линейную характеристику, а значит можно легко измерить концентрацию рефрактометром. АТАГО производит специальные рефрактометры для измерения концентрации спирта. В общем, это обыкновенные рефрактометры, но в процессор «вшит» специальный поправочный коэффициент, позволяющий отображать на дисплее сразу же концентрацию водно-спиртового раствора, минуя показатель преломления. При концентрации от 70% до 96% - зависимость нелинейная. Таким образом, рефрактометрическим методом можно определить крепость спирта в пределах от 1% до 70%.
Рассмотрим применение рефрактометров при изготовлении и анализе раствора глицерина 10% для инъекций: Раствор глицерина 10% Глицерина (в пересчете на безводный) 100 г
1. Натрия хлорид 9,0 г. Воды до 1л.
Изготовление. От поставщиков покупается глицерин (высший сорт, динамитный) с количественным содержанием 86-90%, 94-98% и более. Поэтому, чтобы рассчитать количество исходного глицерина, необходимо точно знать, какова в нем массовая доля безводного вещества. Для точного измерения концентрации глицерина применяют рефрактометр. Показатель преломления исходного глицерина n=1,4569 соответствует массовой доле безводного вещества 89%. Исходное количество глицерина, которое требуется для изготовления раствора, по прописи 68:
2. Масса глицерина = 100 г./ 0,89 = 112,36 г.
Количественное определение глицерина в растворе. Вычисляем концентрацию глицерина: Сглиц = [n - (n0 + CNaCl* FNaCl)] / Fглиц
где n - показатель преломления раствора; n0 - показатель преломления воды очищенной, измеренный при той же температуре; СNaCl - концентрация натрия хлорида в растворе, определенная методом аргентометрии; FNaCl - фактор показателя преломления раствора натрия хлорида для найденной концентрации; Fглиц - фактор преломления 10% раствора глицерина (0, 001156).
В фармацевтической промышленности рефрактометры ATAGO могут применяться для исследования водных растворов различных лекарственных препаратов: кальция хлорида (0% и 20%); новокаина (0,5%, 1%, 2%, 10%, 20%, 40%); эфедрина (5%); глюкозы (5%, 25%, 40%); магния сульфата (25%); натрия хлорида (10%); кордиамина и т.д.
Если для одного из веществ, входящих в раствор, фактор показателя преломления неизвестен или незначительная его концентрация не позволяет получить точных данных, то готовят контрольный раствор, содержащий это вещество в той концентрации, которая была определена титрометрическим методом.
Рефрактометры и поляриметры японской фирмы ATAGO нашли применение во всех отраслях промышленности РФ. Рефрактометры и поляриметры АТАГО внесены в госреестр средств измерений РФ. Это позволяет применять приборы АТАГО в самых жёстко контроллируемых сферах производств - таких, как, например, фармацевтика.